实干、实践、积累、思考、创新。
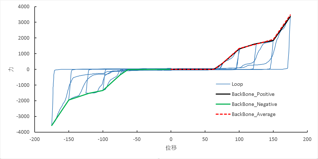
小伙伴试验的一组滞回曲线,比较特殊,存在较为明显的滑移特性,如下图所示。

采用BBCA软件 ( [程序] BBCA v2025: Extract Backbone Curve from Hysteretic Loop [从滞回曲线提取骨架曲线] ) 进行骨架曲线提取,如下图。





- 相关博文( Related Topics)
[01] [试验][软件][科研] CurveCorrection 2024: General Curve Correction Program [通用曲线修正程序]
[02] [科研][软件][试验] HLAV: Hysteresis Loop Animation Viewer [滞回环动画演示软件]
[03] [程序] YPD 2025: Yield Point and Ductility [等效屈服点和延性分析程序 2025版]
[04] [程序] HLA v2025: Hysteretic Loop Analysis Program [HLA滞回曲线分析工具 2025版]
[05] [科研][工具][软件] BBCA v2023: 从滞回曲线提取骨架曲线 [BBCA: Extract Backbone Curve from Hysteretic Loop]
[07] [试验][软件][科研] LoopModifier 2024: Hysteretic Loop Modification Program[滞回曲线修正工具 2024版]
[08] [软件][试验][研究] SawtoothRemove: Remove the Sawtooth Patterns in Your Test Data [剔除试验数据中的锯齿]
[09] [软件][试验][编程] NoiseRemoval: A Program for De-Noising of Experimental Data [试验数据降噪修正工具]
[10] [工具][试验][软件] DataSmoothing v2024: A Program for Test Data Smoothing [试验数据曲线平滑+降噪工具 2024版]
[12] [软件][工具][编程] GAAGM: Graph Animation and Animated Gif Maker [曲线图动画及Gif动图生成工具][滞回曲线动画演示]
[13] [软件][试验][编程] HLA_ETC: Analysis of eccentric tension and compression hysteresis curve [偏心拉、压滞回曲线分析程序]
[14] [软件][试验][编程] NoiseRemoval: A Program for De-Noising of Experimental Data [试验数据降噪修正工具]
[16] [软件][试验][研究] SawtoothRemove: Remove the Sawtooth Patterns in Your Test Data [剔除试验数据中的锯齿]
[17] [试验][工具] CFHLA v2025: Cyclic/Fatigue Loading Hysteresis Loop Analysis [单向往复与疲劳滞回曲线分析及骨架曲线提取工具 2025版]
[18] [试验][软件][科研] CurveCorrection 2024: General Curve Correction Program [通用曲线修正程序]
- 微信公众号 ( Wechat Subscription)
https://www.jdcui.com
合作及技术咨询
COOPERATION & CONTACT
E-mail:jidong_cui@163.com

![Grasshopper建筑结构参数化建模应用实例[Practical Examples of Parametric Modeling for Building Structures Using Grasshopper]](http://www.jdcui.com/wp-content/uploads/2026/01/封面.png)